USD44,76
%0.060
EURO52,77
%-0.060
GBP60,71
%-0.030
EURO/USD1,18
%-0.13
BIST14.211,83
%0.07
Petrol96,22
%1.51
GR. ALTIN6.904,81
%-0.82
BTC75.705,25
%1.6941663307698
ETH2.311,47
%1.4389411164498
  1. Haberler
  2. Borsa Haberleri
  3. Alkim Kağıt (ALKA) 2024 yılı 2.çeyrek VUK kayıtlarında geçen net karını açıkladı

Alkim Kağıt (ALKA) 2024 yılı 2.çeyrek VUK kayıtlarında geçen net karını açıkladı

featured
0
Paylaş

Bu Yazıyı Paylaş

veya linki kopyala

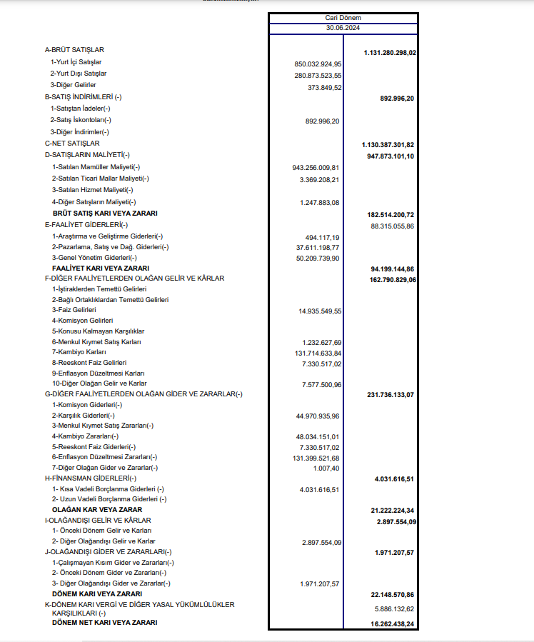
Alkim Kağıt Sanayi ve Ticaret A.Ş. (ALKA) tarafından 10 Eylül 2024 tarihinde Kamuyu Aydınlatma Platformu’na (KAP) yapılan bildirimde 2024 Yılı 2. Dönem Geçici Vergi Beyannamesi Eki Olarak Sunulan Gelir Tablosu hakkında açıklama yapıldı.

Alkim Kağıt (ALKA) 2024 yılı 2.çeyrek VUK kayıtlarında geçen net karını açıkladı | Rota Borsa

Açıklamada 01.01.2024 – 30.06.2024 dönemine ilişkin Kurumlar Geçici Vergi Beyannamesi kapsamında vergi dairesine sunulan ve Sermaye Piyasası mevzuatına göre düzenlenmemiş olan gelir tablosu yer aldı. Buna göre şirket Kurumlar Geçici Vergi Beyannamesi kapsamında vergi dairesine sunulan rakamlara göre 16.262.438,24 TL kar etti. Önemli not: Söz konusu tablo, Sermaye Piyasası mevzuatına göre düzenlenmemiştir ve şirketin açıklayacağı 2024 yılı 2. çeyrek bilançosunu ifade etmemektedir. Gelir tablosu şu şekilde;

Alkim Kağıt (ALKA) 2024 yılı 2.çeyrek VUK kayıtlarında geçen net karını açıkladı | Rota Borsa

2024 Yılı 2. Dönem Geçici Vergi Beyannamesi ekinde Vergi Dairesi’ne verilen gelir tablosu ekte sunulmaktadır.

Borsa ve halka arzlar ile ilgili gelişmeleri en hızlı şekilde öğrenmek ve Rotaborsa telegram hesabını takip etmek için tıklayınız.

E-posta adresiniz yayınlanmayacak. Gerekli alanlar * ile işaretlenmişlerdir

KAI ile Haber Hakkında Sohbet
Sohbet sistemi şu anda aktif değil. Lütfen daha sonra tekrar deneyin.